谷口将紀
東京大学公共政策大学院教授/NIRA総合研究開発機構理事長
井上敦
NIRA総合研究開発機構主任研究員
竹中勇貴
NIRA総合研究開発機構研究コーディネーター・研究員

概要

 NIRA総合研究開発機構が2024年に実施した「第2回政治・経済・社会に関する意識調査(NIRA基本調査)」の結果をもとに、サンプルに含まれるバイアスと人々の意識変化を詳細に分析した。
 サンプルのバイアスとして際立ったのは、インターネット調査における高学歴の回答者の多さであった。バイアスを補正するために、国勢調査の分布を使って計算したウエイトを使って調整をすると、社会階層意識や政治参加に関する質問で大きな変化が見られた。また、回答者が誠実に答えているかを確認するために設けたトラップ質問に正解しなかった者を分析したところ、同じ選択肢を連続して選択する「ストレートライニング」を行いやすいことが明らかになった。
 また、2023年調査との結果比較を行った。2023年から2024年における1年間における人々の意識の変化として、政治分野では、自民党支持の低下や政治家への不信感の強まりがみられた。また、経済分野では、企業業績は回復したものの、「家計が悪くなっている」と答えた人は4割存在することが明らかとなった。また、児童手当については、所得制限付き給付への支持拡大などが確認された。

    INDEX

    ポイント

    ●回答者のうち「大卒以上」の人の割合は、国勢調査では20%台半ばであるのに対し、インターネット調査では2023年、2024年ともに40%を超えていた。なお、留置調査では国勢調査とほぼ同じであった。

    ●インターネット調査においてウエイト補正をすると、社会階層意識は低く、政治参加には消極的になる方向での変化が見られた。全体として、ウエイト補正による変化幅が大きい質問は、学歴が回答に与える影響が大きいという関係も明らかになった。留置調査では、特にメディア接触に関する質問において、SNSへの接触時間が長く、テレビへの接触時間が短くなるといった変化が見られた。

    ●トラップ質問に正解しなかった回答者を含める場合と除く場合では、205個の質問項目のうち13個において、回答の平均値の差が5%水準で有意になった。

    ●インターネット調査に含まれる16個のマトリクス式質問のうち、10個以上でストレートライニングを行った回答者の人数は、トラップ質問に正解した回答者群1,752人の中にはわずか26人(約1.5%)であったのに対し、正解しなかった回答者群248人の中では54人(約21.8%)存在した。

    ●2023年調査と2024年調査の結果を比較して、政治に関する人々の意識の変化をみると、自民党支持の割合は31%から22%へ減少し、無党派層の割合が31%から39%へ増加した。また、人々の政治家への不信感が強まり、政治的有効性感覚や関心は低下した。背景には、この1年間、日本の政治では自民党派閥の裏金問題が大きな議題となり、「政治とカネ」の問題が政治不信を一層深めたことがあると考えられる。

    ●家計状況に関する人々の意識の変化をみると、「良くなっている」と回答した人の割合は7%と低水準のまま変化がなかった。一方、「悪くなっている」と回答した人は42%から39%へとやや減少したものの、依然として4割近くが家計の悪化を認識していたことがわかる。この1年間、日経平均株価は20236月に33年ぶりに33,000円を超えるなど、企業の業績は改善したが、家計までには景気回復の影響が及んでいないことが示唆される。

    ●公的サービスの対象に対する考え方をみると、児童手当の「一律給付」支持は40%から34%に低下し、他方で「所得制限付き給付」支持は43%から48%に増加した。他の政策と比べてもこの変化は顕著であった。2023年は岸田政権のもと、子育て政策が大きく注目され、202410月から児童手当の所得制限撤廃が決定された。こうした議論の高まりの中で、給付と負担の公平性や分配に対する人々の意識が変化した可能性がある。

    図表

    1-1 インターネット調査の割付表
    1-2 インターネット調査において分析対象者となる回答者の数
    1-3 留置調査の層化表
    1-4 サンプルにおける属性ごとの人数と割合
    1-5 調査モードごとの年齢の分布
    2-1 ウエイト付けに使用した属性とその属性の質問に対する無回答率
    2-2 ウエイト付けに使用した属性の分布(%
    2-3 ウエイト値の記述的特性
    2-4 ウエイト値のヒストグラム
    2-5 回答者の属性ごとのウエイトの平均値
    2-6 ウエイト補正による変化が大きかった質問項目上位10個(2024年インターネット調査)
    2-7 ウエイト補正による回答値の変化の大きさと学歴が回答に及ぼす影響の関係
    2-8 ウエイト補正による変化が大きかった質問項目上位10個(留置調査)
    2-9 トラップ質問において不正解となりやすい回答者の属性
    2-10 インターネット調査において生じるバイアスの例
    2-11 省力回答のみを補正するウエイトの値と国勢調査に合わせて補正したウエイトの値の関係
    2-12 トラップ質問に正解しなかった回答者を含める場合と除く場合での回答値の違い
    表2-13 トラップ質問に正解しなかった回答者を除くことで有意な差が出た質問項目の一覧
    2-14 トラップ質問の正解者と不正解者の回答の違い
    2-15 調査に含まれるマトリクス式質問の内容とストレートライニングが見られた回答者の数
    2-16 トラップ質問への回答とストレートライニングの関係
    2-17 ストレートライナーを分析から除くことによって有意な差が出る質問の数
    3-1-1 長期的党派性
    3-1-2 政治に関する意見
    3-1-3 メディアや組織などへの信頼
    3-1-4 諸外国への親近感
    3-2-1 1年前と比べたときの世帯の家計状況
    3-2-2 デジタル化や技術革新の影響への意識
    3-2-3 生活時間
    3-2-4 地域コミュニティとのかかわり、ボランティア、副業に関する活動状況
    3-3-1 社会に対する考え
    3-3-2 理想とする日本の社会
    3-3-3 公的サービスの対象に関する考え
    3-3-4 公的サービスの水準に関する考え
    3-3-5 公共サービスに対する満足度
    3-3-6 国や自治体の支出の無駄への意識
    3-3-7 人々の社会意識
    図3-3-8 社会階層意識

    第1章 NIRA基本調査の概要とサンプルの特性

    谷口将紀・井上敦・竹中勇貴

    1.本報告書の目的

     本報告書は、NIRA総合研究開発機構が2023年と2024年に実施した「政治・経済・社会に関する意識調査」(以下「NIRA基本調査」)の結果を基に、1年間での日本人の意識の変化を明らかにする。

     本調査は社会に関する様々な意識を定点観測することを目的としており、20233月に第1回調査、20241月に第2回調査が実施された。いずれもインターネットにおける調査であるが、2024年調査では、同時に、同じ質問内容による無作為抽出に基づく留置方式による調査も行った。したがって、報告書の中には、インターネット調査の結果と比較する対象として、留置調査の結果も示す箇所もある。

     本報告書は3章構成となっている。この第1章では、NIRA基本調査に関する基礎的な情報として、質問の内容、標本抽出の方法、そして回答者の属性分布を示す。次の第2章では、サンプルに存在するバイアスを踏まえた上で、バイアスを補正するためのウエイト付け、そして調査に真面目に回答しないサティスファイサーの処理について論じる。最後の第3章では、ウエイト付けとサティスファイサーの処理を行った調査データを用いて、2023年と2024年の調査結果を比較し、この1年で発生した政治・経済に関するできごとと関連させながら考察をする。

    2.NIRA基本調査の概要

     本節では、NIRA基本調査における質問項目、調査実施日、標本の抽出方法について述べる。なお、本調査の個票データは、今後、一般公開する予定である。

    (1)質問項目

     NIRA基本調査には、政治・経済・社会に関連する幅広い内容の質問が含まれている。本調査オリジナルの質問項目に加え、世界価値観調査(World Value Survey)や東京大学谷口研究室・朝日新聞社共同調査といった既存の大規模な社会調査における質問も取り入れている。

     2023年調査と2024年調査で比較する調査項目は、以下の通りである。これらは第3章の経年比較で取り上げられる質問項目のみを挙げたものであり、各年の調査には他にも多くの質問項目がある。補遺として調査票を公開しているので参照されたい。

    政治分野

     ●長期的党派性
     ●政治に関する意見
     ●メディアや組織などへの信頼
     ●諸外国への親近感

    経済分野

     ●1年前と比べた世帯の家計状況
     ●デジタル化や技術革新の影響への意識
     ●生活時間
     ●地域、ボランティア、副業に関する活動

    社会分野

     ●社会に対する考え方
     ●理想とする日本の社会
     ●公的サービスの対象に関する考え
     ●公的サービスの水準に関する考え
     ●公共サービスに対する満足度
     ●国や自治体の支出の無駄への意識
     ●人々の社会意識
     ●社会階層意識

    (2)調査期間

     2023年インターネット調査:2023316日~320
     2024年インターネット調査:2024119日~122
     留置調査:2024119日~24

    (3)サンプルの抽出方法

    インターネット調査(2023年・2024年で共通)

     18歳以上の日本人を対象とし、2020年の国勢調査に基づいて性別(2分類)、年齢(6分類)、地域(5分類)による割り付けを行った(表1-1(注1)。回収数は2023年調査と2024年調査ともに2,000であり、割付表も共通である。回収数2,000のうち、トラップ質問によってサティスファイサーと判断された回答者は分析から除外している。また、ウエイトの計算に使用する属性の質問に無回答があった回答者も削除した。これにより、最終的に分析の対象となったのは、2023年調査では1,790人、2024年調査では1,742人である(表1-2)。

    表1-1 インターネット調査の割付表

    表1-1 インターネット調査の割付表

    (注)単位はすべて人である。
    地域の分類は、以下の通りである。
    東日本:北海道、青森県、岩手県、宮城県、秋田県、山形県、福島県、茨城県、栃木県、群馬県、埼玉県、千葉県、京浜地域以外の東京都、京浜地域以外の神奈川県
    京浜:東京都特別区、横浜市、川崎市
    中日本:新潟県、富山県、石川県、福井県、山梨県、長野県、岐阜県、静岡県、愛知県、三重県
    阪神:大阪市、堺市、豊中市、池田市、吹田市、守口市、八尾市、寝屋川市、東大阪市、神戸市、尼崎市、明石市、西宮市、芦屋市、伊丹市、宝塚市、川西市
    西日本:滋賀県、京都府、阪神地域以外の大阪府、阪神地域以外の兵庫県、奈良県、和歌山県、鳥取県、島根県、岡山県、広島県、山口県、徳島県、香川県、愛媛県、高知県、福岡県、佐賀県、長崎県、熊本県、大分県、宮崎県、鹿児島県、沖縄県

    留置調査

     留置調査の抽出方法であるが、内閣府による「国民生活に関する世論調査」を参考にした、層化2段階無作為抽出法によって実施した(注2)。第1段階として、都道府県を単位とした11地区と5段階の都市規模によって層化をし、18歳以上人口の割合に応じて250地点、5,000人の対象者を配分した(表1-3)。第2段階では、250の地点のそれぞれにおいて選挙人名簿を用いて対象者を無作為抽出した。対象者5,000人のうち、回収数は2,441、回収率でいうと48.8%であった。

    表1-3 留置調査の層化表

    表1-3 留置調査の層化表

    (注)かっこなしの数字は調査対象者数、かっこ内の数字は地点数である。
    地区の分類は以下の通りである。
    北海道:北海道
    東北:青森県、岩手県、宮城県、秋田県、山形県、福島県
    関東:茨城県、栃木県、群馬県、埼玉県、千葉県、東京都、神奈川県
    北陸:新潟県、富山県、石川県、福井県
    東山:山梨県、長野県、岐阜県
    東海:静岡県、愛知県、三重県
    近畿:滋賀県、京都府、大阪府、兵庫県、奈良県、和歌山県
    中国:鳥取県、島根県、岡山県、広島県、山口県
    四国:徳島県、香川県、愛媛県、高知県
    北九州:福岡県、佐賀県、長崎県、大分県
    南九州:熊本県、宮崎県、鹿児島県、沖縄県

    3.サンプルにおける属性分布の特徴

     2023年と2024年のインターネット調査および留置調査における回答者の属性分布を、国勢調査データと比較しながら示す(表1-4)。性別は、2023年、2024年のインターネット調査と留置調査のいずれにおいても、国勢調査と比べて若干女性の方が多くなっている。都市規模については、インターネット調査では21大都市の回答者が、留置調査では逆に21大都市以外の回答者が過大代表されている。学歴については、インターネット調査において大きなバイアスがある。大卒以上、つまり大卒と大学院卒の人の割合の合計は、国勢調査では約27.5%であるのに対し、インターネット調査では45%を超えている。労働力状態については、「普段仕事をしておらず、家事のみ」という項目で、すべての調査モードを通して国勢調査より割合が5%ポイント以上多くなっていた。最後に、配偶関係ではどの調査モードでも「配偶者あり」という人の割合が国勢調査より多い。

    表1-4 サンプルにおける属性ごとの人数と割合

    表1-4 サンプルにおける属性ごとの人数と割合

    (注)割合はすべて%である。インターネット調査では、学歴の「その他」の項目を設けていない。

     最後に、回答者の年齢に見られる特徴を確認しておきたい。18歳以上の日本人を対象とした場合の平均年齢は、国勢調査では54.1歳であるのに対し、留置調査では55.5歳と若干高く、インターネット調査では2023年で53.7歳、2024年で54.3歳と、ほぼ同じか少しだけ若くなっている。ただし、年齢については平均だけではなく分布にも目を向ける必要がある(図1-5)。インターネット調査では、70代前半のところに回答者が集中しており、いびつな分布になっていることが分かる。これは、インターネット調査では10歳刻みの年齢で割付をしており、1番上のカテゴリを「70代以上」としたことに由来すると考えられる。70代以上という、そもそもインターネットを使っている人が多くないと考えられる集団の中では、比較的インターネットを使っている割合が高い70代前半の回答者がサンプルに集中した可能性がある。留置調査における分布は、インターネット調査に比べると国勢調査に近くなっているが、90歳を超えるような高齢者がほとんどおらず、代わりに50代から70代までの割合が全体的に多くなっていることが分かる。

    図1-5 調査モードごとの年齢の分布

    図1-5 調査モードごとの年齢の分布

    (注)いずれも18歳以上の日本人のうちの割合である。

     次の第2章では、本章で明らかになったサンプルの分布の特徴を踏まえて、ウエイト付けとサティスファイサーの処理という観点から、適切な集計方法を検討することにしたい。

    第2章 ウエイトによる補正とサティスファイサーの処理

    竹中勇貴

    要旨


     本章では、サンプルのバイアスを補正するためのウエイト付けと、調査に真面目に回答しないサティスファイサーの処理について論じる。

     ウエイトは、国勢調査の属性分布に合わせたレイキングによって計算した。ウエイト補正によって、インターネット調査では社会階層意識は低く、政治参加には消極的になる方向での変化が見られた。高学歴の人はその逆の方向で回答をしやすいと考えられ、インターネット調査に高学歴の人が多く含まれることに起因する回答の歪みが補正されたといえる。全体として、ウエイト補正による変化幅が大きい質問は、学歴が回答に与える影響が大きいという関係も明らかになった。

     留置調査でも同様に補正をしたところ、SNSに接触する時間が長く、テレビに接触する時間が短くなる方向に変化した。留置調査に回答しやすい人のメディア接触の傾向が関係していると考えられる。

     インターネット調査において、トラップ質問に正解しなかった回答者をサティスファイサーとして除くことで、205個の質問項目のうち13個において回答の平均値に5%水準で有意な差が生じた。

     トラップ質問に正解しなかった回答者は、同一の選択肢を選択する「ストレートライニング」を行いやすい傾向も明らかになった。インターネット調査に含まれる16個のマトリクス式質問のうち、10個以上でストレートライニングを行った回答者の数は、トラップ質問に正解した回答者群1,752人の中ではわずか26人(約1.5%)であったのに対し、正解しなかった回答者群
    248人の中では54人(約21.8%)であった。

     本章では、次章における2023年調査と2024年調査の経年比較に向けた準備作業として、サンプルのバイアスを補正するためのウエイト付けと、調査に真面目に回答しないサティスファイサー(satisficer)の処理について論じる。

     本章の前半では、どのような属性を使ってウエイト付けをし、ウエイトの値はどのようになったか、そしてウエイトを使って補正することで集計結果がどの程度変化したかを示す。また、比較対象として、2024年調査と同時期に実施した留置調査でもウエイト付けの結果を示す。

     後半では、トラップ質問によってサティスファイサーと判断された者の属性、そしてサティスファイサーを除くことによる集計結果の変化を示すとともに、トラップ質問に正解しなかった回答者による回答行動の特性を、同じ選択肢ばかりを選ぶストレートライニング(straightlining)に注目して分析する。

    1.ウエイトの計算とウエイト補正による変化

    (1)ウエイトの計算に使用した属性とウエイト値の特性

     ウエイト付けは、性別や年齢などいくつかの属性を選択し、その周辺分布が2020年国勢調査と一致するようにレイキングをするという方法で行った(注3)2023年調査と2024年調査のインターネット調査、そして留置調査とすべての調査において、同じ方法で計算している。使用した属性とその区分は表1の通りである(注4)。表中の各属性の区分は国勢調査におけるそれと同一であり、本調査では同じ分け方ができるように尋ねている。

     表2-1には、各属性の質問に対する無回答率も示している。インターネット調査では2023年調査と2024年調査ともに、配偶関係以外の属性は回答を必須にしているため、無回答率は0%である。配偶関係の質問では「答えたくない」という選択肢を設けているが、これを選んだ人は2023年調査でも2024年調査でも1%未満であった。

     留置調査ではどの属性の質問も回答を必須とはしておらず、労働力状態の質問で約1.7%、配偶関係の質問で約4%の無回答が発生した。本報告書では、属性の質問で無回答があった回答者に対しては、代入などはせず単純にサンプルから削除している。その上で、インターネット調査のウエイト付けでは、サティスファイサーを検出するためのトラップ質問に正解しなかった回答者も除去したサンプルでウエイトを計算している。第3章の経年比較でも、同じサンプル、そしてウエイト値を使っている。

    表2-1 ウエイト付けに使用した属性とその属性の質問に対する無回答率

    表2-1 ウエイト付けに使用した属性とその属性の質問に対する無回答率

    (注)21大都市は、札幌市、仙台市、さいたま市、千葉市、東京都特別区、横浜市、川崎市、相模原市、新潟市、静岡市、浜松市、名古屋市、京都市、大阪市、堺市、神戸市、岡山市、広島市、北九州市、福岡市、熊本市である。

     属性とその区分の選択に際しては、以下の2点を中心に検討した。

     1つは、サンプルにおいて各区分に当てはまる人の割合が少なくなりすぎないことである。一般論として何%という絶対の基準があるわけではないが、本報告書では5%未満を1つの基準とした(注5)。例えば、学歴は「中学校」、「高校」、「短大・高専」、「大学」、「大学院(修士課程)」、「大学院(博士課程)」「その他」と7つの選択肢で尋ねているが、「中学校」と回答した人の割合は、インターネット調査では2%程度かそれ以下である。また、大学院修士課程以上である人の割合は、最も多い2024年のインターネット調査であっても5%程度である。これらのことから、「大卒以上」と「それ以外」と2段階で大くくりにすることにしている。

     もう1つは、属性を尋ねる質問に大きな測定誤差がないことである。本調査では回答者の「世帯収入」や「個人収入」を尋ねているが、回答者が収入を正確に把握できている、あるいは正直に回答しているとは限らないことから、補正項目としては採用していない。また、労働力状態については、第1章でも確認したように「家事のみ」を選んだ人がインターネット調査でも留置調査でも、国勢調査より際立って多かった。家事のみをしているという人は家にいる時間が長く、調査モードに関係なく調査に参加しやすいというバイアスがあるとは考えられるので、「家事のみ」の割合にフォーカスした補正もありうるところではある。しかし、本報告書では労働力状態の細かな分類は回答者にとって正しい判断が難しいと考え、シンプルに就業者か否かの二値で層化することにした。

     表2-2には、補正項目ごとに人数の割合を示している。レイキングによって、2023年と2024年のインターネット調査、そして留置調査のいずれについても、補正後の属性分布は国勢調査と完全に一致している。

     得られたウエイト値についての情報を、いくつかの形で提示しておきたい。まず、ウエイト値の平均、標準偏差、最小値、最大値、デザイン・エフェクト(design effect(注6)を表2-3に、ウエイト値のヒストグラムを図2-4に示している。まず平均についてであるが、レイキングによって得られたウエイト値を、平均が1となるように調整をしているため、平均はすべて1となっている。最大値はどの調査モードでも2から3の範囲となっている。ヒストグラムから分かるように、ウエイト値が2を超える回答者もごく少数であることから、ウエイト値の上限に制約を設けるトリミングはしていない。標準偏差はインターネット調査の方が留置調査より大きくなっており、全体としてインターネット調査において強い補正がかかることが分かる。ただし、デザイン・エフェクトの値を見ると、最も大きい2024年インターネット調査でもおよそ1.2であり、補正によってそれほど極端な変化が生じるわけではないといえる。

     最後に、ウエイトの値を属性ごとに平均して表2-5に示している。国勢調査と比べて過少にサンプリングされている属性の回答者には、確かに大きなウエイト値が付与されていることが確認できる。例えば、インターネット調査では学歴の面で特に大きいバイアスがあったことから、やはり学歴によるウエイト値の違いは大きく、大卒以上ではない人には1.3から1.4の間のウエイト値が付いている。留置調査の方では、「配偶者あり」という人の割合に国勢調査と比べて10%ポイントとかなりの開きがあったことから、配偶関係のところでウエイト値が大きくなっている。また、年齢についても留置調査ではインターネット調査に比べて強い補正がかかることが指摘できる。

    (2)補正による集計結果の変化

     計算されたウエイトを使って補正をすることで、集計結果はどのように変化するのであろうか。本調査の特徴は、世界価値観調査などと同様に多様な内容の質問をしているところにある。それを活かして、すべての質問項目について補正前後での変化の大きさを比較して、どのような内容の質問が補正の影響を大きく受けるのかを見る。

     質問の尺度は様々であるため、統一的に比較をするために、すべての質問の回答値を0から1の間にリスケーリングした。例えば、「1 そう思う」から「5 そう思わない」の5点尺度の質問であれば、「1」を0、「2」を0.25、「3」を0.5、「4」を0.75、「5」を1と変換する。二者択一の質問の場合は、選んでいれば1、選んでいなければ0とする。支持政党を政党のリストから選んでもらうような名義尺度の質問では、1つの選択肢を1つの変数として扱った。すなわち、自民党を支持すると回答したか否かで1つの変数、立憲民主党を支持すると回答したか否かで1つの変数・・・という形にし、選んでいれば1となる二値変数としてコーディングした。この処理によって、分析に使う回答値の数は合計で205個となった。

     2024年のインターネット調査において、補正による差が大きかった質問項目を上から10個挙げたのが表2-6である。尺度の数値は、5点尺度であれば5、ダミー変数で計算していれば2となる。差が最も大きいのは社会階層意識についての質問(Q35)であり、補正によって社会階層意識が低くなる方向に変化した。すなわち、インターネット調査のサンプルには社会階層意識が高めの人が多く含まれるというバイアスがある。他に大きな補正効果が見られた質問として、510年後に経済的に困窮するか余裕があるか(Q14.1)、生活満足度(Q34)、1年前と比べた日本経済の変化(Q13.3)と、経済や暮らし向きに関係する質問が目立った。いずれも補正前の結果には楽観的な方向、つまり経済的に困窮する懸念はなく、生活満足度は高く、日本経済は良くなっていると思う、という方向でバイアスがあることが分かった。

    表2-6 ウエイト補正による変化が大きかった質問項目上位10個(2024年インターネット調査)

    表2-6 ウエイト補正による変化が大きかった質問項目上位10個(2024年インターネット調査)

    (注)質問への回答値を0から1の間にリスケーリングした上で、補正前後で回答の平均値を求めて差のt検定をした結果を示している。質問番号は、補遺Bの2024年インタ―ネット調査におけるものである。

     表2-6においてもう1つ注目すべきは、政党支持や政治的有効性感覚といった政治意識に関する質問が挙がっていることである。投票予定政党の質問(Q8)に対して「投票に行かない」と答えた人は、補正をすることで増加した。この質問は選んだか否かの二値(0/1)で平均値を計算しているので、差が0.023であるということは、補正をすることによって「投票に行かない」と答えた人の割合が単純に約2.3%ポイント増加したということである。同様に、長期的な党派性を尋ねる質問(Q9)に「そのような政党はない」と答えた人、つまり無党派層は補正によって約1.8%ポイント増えた。その他、政治への理解についての「政治とか政府とかは、あまりに複雑なので、自分には何をやっているのかよく理解できないことがある」(Q12.4)という質問では、「そう思う」という人が多くなる方向に補正されている。総じて、補正前のサンプルには、政治参加や政治への理解といった面で積極的な姿が映し出されがちなバイアスが存在していたといえる。

     インターネット調査におけるサンプリング・バイアスは学歴の面で特に大きいことから、補正によって集計結果が大きく変化する質問は、学歴が回答に大きく影響する質問であることが予想される。実際、経済的に余裕があると考えがちであり、政治参加に積極的であるといった補正前の集計結果におけるバイアスは、学歴が高い人がサンプルに含まれやすいことを踏まえれば整合的に理解できる。

     このことを確認するために、すべての質問項目についてリスケーリングした値を従属変数、大卒以上であれば1となるダミー変数を独立変数とした線形回帰を行い、学歴の係数の大きさが補正による大きさとどう関係しているかを見る(図2-7)。図では、質問項目を補正の変化が大きかった順に上から並べている(注7)。図の上の方、つまり補正による変化が大きかった質問では学歴の係数が正または負で大きいのに対して、下の方の補正による変化が小さかった質問では学歴の係数が0に近くなっているものが多くなっている。もちろん、いくつかの例外はあるものの、全体的には予想通り、学歴が強く影響する質問項目において補正効果も大きいという関係が確認できたといえよう。

    図2-7 ウエイト補正による回答値の変化の大きさと学歴が回答に及ぼす影響の関係

    図2-7 ウエイト補正による回答値の変化の大きさと学歴が回答に及ぼす影響の関係

    (注)質問項目ごとに学歴を独立変数、リスケーリングした回答値を従属変数とした線形回帰分析を行った結果である。エラーバーは95%信頼区間である。性別、年齢(10歳刻み)、職の有無、配偶者の有無を統制している。

     補正による変化が大きかった質問のランキングを、インターネット調査と比較するために留置調査においても同様に示したのが表2-8である。まず、インターネット調査と共通する傾向として、無党派層(Q2)や投票に行かない(Q1)という人が補正をすることで若干増加した。ただし、留置調査のサンプルでは学歴の面でのバイアスはインターネット調査ほど大きくない。留置調査においては、インターネット調査とは違って年齢の高い人が多いという偏りが大きいことが影響した可能性がある。

    表2-8 ウエイト補正による変化が大きかった質問項目上位10個(留置調査)

    表2-8 ウエイト補正による変化が大きかった質問項目上位10個(留置調査)

    (注)質問への回答値を0から1の間にリスケーリングした上で、補正前後で回答の平均値を求めて差のt検定をした結果を示している。質問番号は、補遺Cの留置調査におけるものである。

     これらの政治意識の設問を除くと、表2-8では全体としてインターネット調査と異なる質問項目が挙がっていることが指摘できる。補正による差が最も大きかったのは、1番上の行に示されているようにSNSへの接触についての質問(Q11.5)で、補正によって平均値が0.032増加している。SNSに接触した時間が最も長かったという人の割合が、補正をすることによって約3.2%ポイント増加したということである。次いで差が大きかったのはテレビに接触した時間が最も長いという人の割合(Q11.2)で、補正によって約2.8%ポイント減少した。裏を返せば、留置調査の回答者にはSNSに接触する時間が短く、テレビに接触する時間が長い人が多いというバイアスがあることが分かる。インターネット調査とは異なり、留置調査においてはメディア環境が関係するような質問において補正効果が大きいという特徴があった。

     さらに、介護や年金の質や給付という項目(Q22.1Q23)が挙がっているのも、インターネット調査とは異なる特徴である。介護や年金の質や給付を充実させたいと考えている人が補正によって若干減少していることが分かる。原因として、年齢の高い人が留置調査に参加しやすく、介護や年金に対して積極的な回答をしがちであることが考えられる。留置調査においてもまた、インターネット調査と傾向は異なるものの、サンプルの特性を踏まえるとある程度理解可能な形で回答にバイアスが生じていることが分かる。

    2.サティスファイサーの属性と回答傾向

     以下では、サティスファイサーの分析に移り、どのような属性の人がサティスファイサーになりやすいのか、そしてサティスファイサーの存在は得られたサンプルにどのようなバイアスをもたらしているのかを確認する。本調査は、回答者が回答を選ぶ回数でいうと100以上あり、回答者にとっての負担という観点からも、省力回答については慎重に検討することが求められる。

     サティスファイサーを検出するための方法として、本調査ではトラップ質問を使用している。あるマトリクス式の質問において「この項目には、「4 どちらかと言えばそう思わない」を選択してください」という項目を混ぜておき、4以外を選択した人をサティスファイサーと判断した。該当する回答者は、2024年のインターネット調査では回収数2,000のうち248人、2023年では2,000人のうち195人であり、割合でいうとそれぞれ12.4%9.75%である。

    (1)トラップ質問に正解しなかった人の属性

     まず、トラップ質問によってサティスファイサーと判断された人の属性を明らかにするために、トラップ質問に正解しなかった人を1とするダミー変数を従属変数とした、ロジスティック回帰を行った(図2-9)。独立変数として、年齢や性別といった種々の属性に加えて、Big Fiveパーソナリティの指標も含めている。省力回答にはパーソナリティが影響すると考えられることが、先行研究で示唆されている(Sturgis and Brunton-Smith 2023)。5%水準で有意になった係数に注目すると、女性より男性の方が、年齢が低い方が、学歴が低い方が、結婚している人よりしていない人の方が、そして協調性スコアが低い人の方がサティスファイサーになりやすいという結果になった。いずれもサティスファイサーの特性に関する通説的な知見と整合的である(Alvarez, Atkeson, Levin, and Li 2019; Sturgis and Brunton-Smith 2023)。

    図2-9 トラップ質問において不正解となりやすい回答者の属性

    図2-9 トラップ質問において不正解となりやすい回答者の属性

    (注)サティスファイサーを含めたすべての回答者を対象とし、サティスファイサーであれば1となるダミー変数を従属変数としたロジスティック回帰を行った結果である。エラーバーは95%信頼区間である。

    (2)サティスファイサーがもたらす見えないバイアス?

     サティスファイサーによるバイアスは、サンプルに存在するバイアス全体の中でどの程度の比重を占めているのであろうか。当然ではあるが、サティスファイサーによってもたらされるバイアスは、サンプルが持つバイアスの一部にすぎない(図2-10)。18歳以上の日本人という、本調査が想定する母集団からサンプルが得られる過程では、サティスファイサーによるバイアス以外にも、そもそもインターネットにアクセスできる人しか回答できないというバイアス、調査会社が持つモニターの特性による、いわゆる「house effect」、調査に参加するかどうかは参加者の意思に委ねられるという自己選択バイアスなどが存在しうる(大森 2021; 三浦・小林 2015; 吉村 2020)。図からは、省力回答によって生じるバイアスは、母集団からサンプルに至る流れの中では比較的下流に位置することが分かる。

     本章のはじめに計算した、国勢調査をターゲットとしたレイキングによるウエイトは、このように多種多様なバイアスを、その原因を問わずに包括的に補正しようとする、いわば「合計」のウエイトであるといえる。したがって、「合計」のウエイトの値だけでは、サンプルがどのような原因でどの属性においてバイアスを持つようになったのかを把握することができない。

    図2-10 インターネット調査において生じるバイアスの例

    図2-10 インターネット調査において生じるバイアスの例

    (注)かっこ内は2024年のインターネット調査における該当者の人数である。

     そこで、「合計」のバイアスからサティスファイサーによって生じるバイアスを分かりやすい形で切り分けるための方法として、省力回答によって生じるバイアスのみを補正するウエイトを算出して、「合計」のウエイトの値と比較することにしたい(注8)。本調査のローデータにはトラップ質問に正解した者としなかった者の双方が含まれているので、トラップ質問に正解した者を1とするダミー変数を作成し、ウエイト付けに使った属性を独立変数としたロジスティック回帰モデルを推定して傾向スコアを求めた。傾向スコアから、各回答者に逆確率のウエイト(inverse probability weight)を付与して、平均が1となるように調整をした。このウエイトが大きいことは、トラップ質問に正解せずサンプルから除かれやすいことを意味する。

     サティスファイサーによるバイアスのみを補正するウエイト値が大きかった回答者の属性を上から10個並べ、同じ属性における「合計」のウエイトと比較したのが表2-11である。省力回答によってもたらされるバイアスを補正するウエイトの値は最大でも1.3程度であり、2以上になることもある「合計」のウエイトと比べると、その影響は部分的であることが分かる。両者の値の違いは、インターネットを利用しているか否かというような、省力回答以外の要因によってもたらされるバイアスに由来していると考えられる。

     省力回答以外のバイアスとの関係という点で特に興味深いのは、表の8行目のパターンである。国勢調査に合わせて補正した「合計」のウエイトは0.967と、1にかなり近い。この値だけ見ると、サンプルに大きなバイアスはないと判断してしまいそうである。しかし、省力回答のみを補正するウエイトは1.186となっており、省力回答によって脱落しやすい属性である。裏を返せば、サティスファイサーと判断されて除かれる前の、回答者としてサンプリングされる段階では、過大代表されているということである。つまり、「合計」のウエイトが1に近くなっているのは、サティスファイサーとしてサンプルから除かれやすいというバイアスと、回答者としてサンプリングされやすいという2つの逆方向のバイアスがオフセットされた結果であると考えられる。省力回答に注目せず、「合計」のウエイトを見るだけではサンプルのバイアスを適切に把握することが難しいことを示す好例であるといえよう。

    (3)サティスファイサーを除いて集計することに意味はあるか

     トラップ質問に正解しなかった回答者を除くことによって、集計結果はどの程度変化するのであろうか。(1)トラップ質問に正解しなかった人を除くサンプルと除かないサンプルでの比較と、(2)トラップ質問に正解した人としなかった人での回答の比較という2つの観点から検討する。ここでの分析ではすべての質問の回答を0から1の間にリスケーリングしており、純粋に回答の傾向を比較するという目的から、ウエイト付けはしていない。

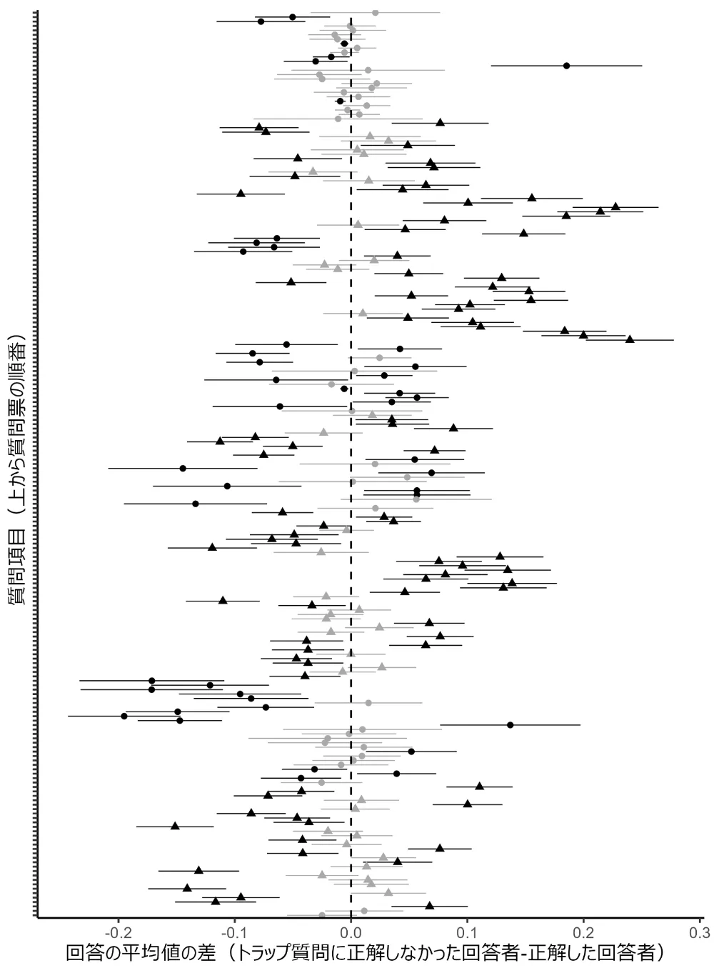
     まず、トラップ質問に正解しなかった回答者を除いたサンプルと除かないサンプルで回答値の平均の差のt検定をした結果が、図2-12である。図では、質問項目を質問票の順番に上から並べて、それぞれの質問項目で平均の差と95%信頼区間を示している。数は少ないが、一部の質問項目において差が5%有意になっている。図中で推定値が三角形で示されているのは項目数が5つ以上あるマトリクス式の質問であり、差が有意になっている質問はすべてマトリクス式であることも特筆に値する。

     図2-12において差が有意であった質問項目を一覧にしたのが表2-13である。政治的有効性感覚や経済の見通し、デジタル化や情報革新による影響、パーソナリティ(Big Fiveとシュワルツの価値観)といった質問が挙がっている。また、パーソナリティの質問とそれ以外の質問は、それぞれ調査票の中で比較的固まった場所に存在していることも指摘できる。

    表2-13 トラップ質問に正解しなかった回答者を除くことで有意な差が出た質問項目の一覧

    表2-13 トラップ質問に正解しなかった回答者を除くことで有意な差が出た質問項目の一覧

    (注)質問番号は、補遺Bの2024年インターネット調査におけるものである。

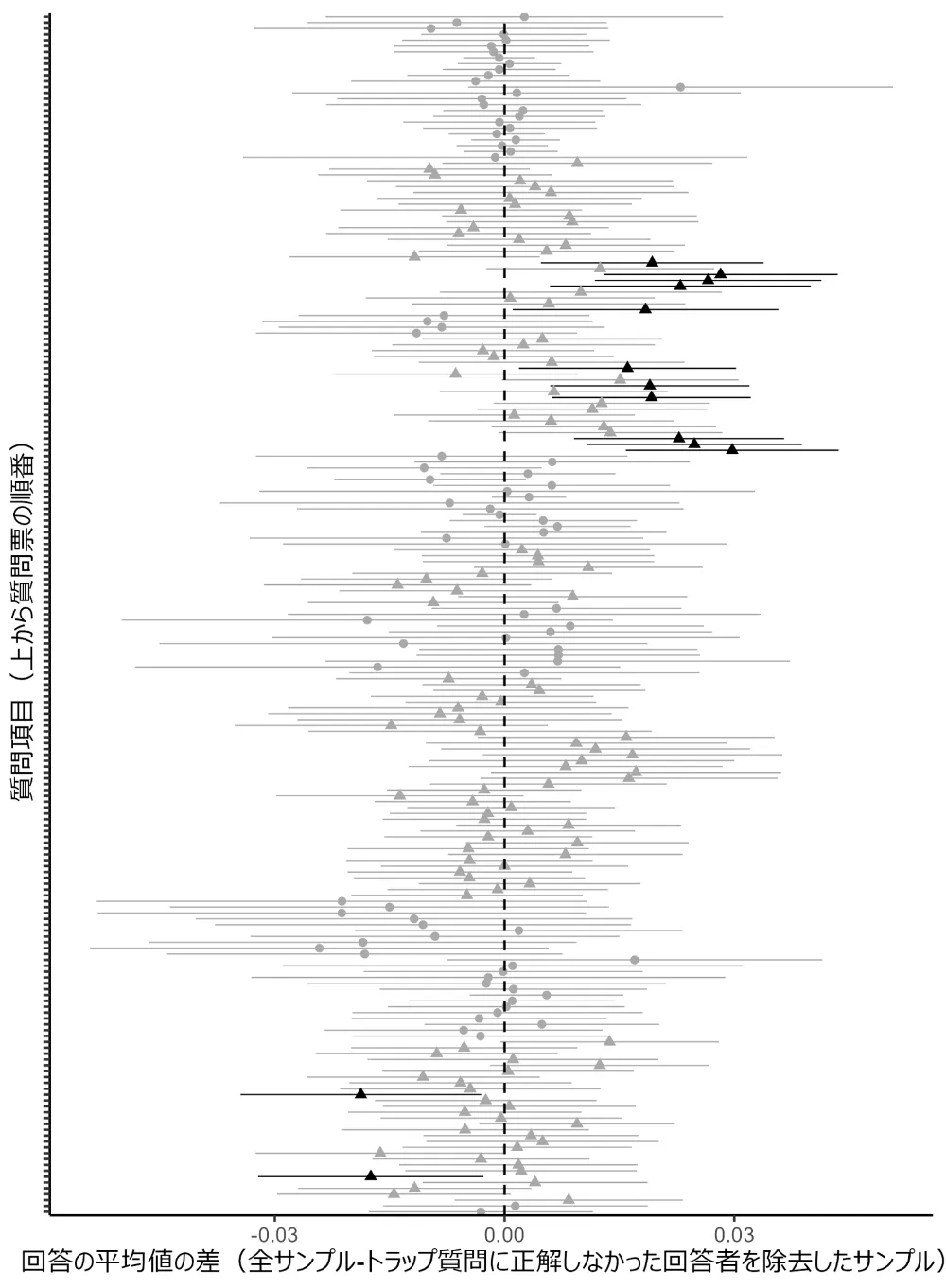
     次に、トラップ質問に正解した回答者のみのサンプルと正解しなかった回答者のみのサンプルで同様に差のt検定をした結果が図2-14である。5%水準で有意な違いがあった変数は205個のうち131個であり、全体の約64%を占めている。そのうち、マトリクス式の質問項目は87個ある。図2-12と併せて考察すると、トラップ質問に正解しなかった回答者はサンプルの中で約10%台と少ないことから、サンプルに含めたままの分析でも集計結果には影響しないが、トラップ質問に正解した回答者とはかなり異なる回答行動をしているということになる。

    図2-14 トラップ質問の正解者と不正解者の回答の違い

    図2-14 トラップ質問の正解者と不正解者の回答の違い

    (注)すべての質問項目について、回答の値を0-1の間にリスケーリングして計算をしている。エラーバーは95%信頼区間である。5%水準で有意であったものを黒、それ以外をグレーにしている。点が三角形になっているものは、マトリクス式の質問である。

    (4)トラップ質問に正解しなかった回答者による連続同一回答(ストレートライニング)

     それでは、トラップ質問によって検出されたサティスファイサーの回答の傾向は、具体的に他の回答者とどのように異なるのであろうか。ここでは、省力回答の一形態として、質問の内容を理解せず機械的に同じ番号の選択肢を連続して選択する、「ストレートライニング」に注目して分析をする(Kim, Dykema, and Moberg 2019)。

     分析の方法は以下の通りである。まず、ストレートライニングはマトリクス式の質問で特に生じやすいと考えられるため、質問項目のうちマトリクス式になっており、かつ1つのマトリクスの中で質問項目が5個以上あるもの16個に注目する。そして、1つのマトリクスに含まれる小問ですべて同じ選択肢を選んでいれば、そのマトリクス式質問ではストレートライニングをしたと判断した(注9)。すべて同じ選択肢を選んだマトリクス式質問の数が多ければ、その回答者はマトリクス式の質問はもちろんだが、調査の全体にわたって省力回答をしている可能性もあるといえよう。

     ストレートライニングが生じやすい質問の特徴を見るために、16個のマトリクス設問それぞれについて、ストレートライニングを行った人数を集計したのが表2-15である。表では質問項目を質問票に掲載されている順番で上から並べているので、もし調査の後半となるにつれて回答者が疲れ、省力回答が増えていくのであれば、表の下の方に行くほど人数が多くなるはずである。しかし、そのような傾向は必ずしも見られない(Bansak, Hainmueller, and Hopkins 2018)。

    表2-15 調査に含まれるマトリクス式質問の内容とストレートライニングが見られた回答者の数

    表2-15 調査に含まれるマトリクス式質問の内容とストレートライニングが見られた回答者の数

    (注)質問番号は、補遺Bの2024年インターネット調査におけるものである。1つのマトリクス式質問においてすべて同じ選択肢を選んだ人の数である。割合はトラップ質問の結果を問わずすべての回答者を含めて計算しており、n=2,000である。

     重要なのは、むしろ質問の内容であると考えられる。例えば、調査の最終盤に位置するBig FiveQ32)とシュワルツの価値観(Q33)という2つの設問では、ストレートライニングが際立って少なくなっている。これらの質問は、政治や経済に関連した固い内容を尋ねる大多数の質問と異なり、自分自身の性格という比較的考えやすいトピックであり、真面目に回答することができた可能性がある。

     また、質問の内容によっては、ストレートライニングが必ずしも省力回答を意味するわけではないという点にも注意が必要である。例えば、表中で同一回答をした人数が最も多かったのは、医療や介護など10個の公共サービスについてそれぞれ「全国一律か地域の実情を反映するか」を問う質問(Q26)であるが、そもそもサービスの種類によらず地域の実情を反映する方がよいと考える人は一定数存在すると考えられる。そのような回答者は、質問に対して真剣に考えた上で、すべての項目で同じ選択肢を選ぶことになるであろう。

     次に、トラップ質問への正解/不正解とストレートライニングの関係を見るために、ストレートライニングが生じたマトリクス質問の数ごとに、トラップ質問に正解したか否かで分けて人数を集計した(表2-16)。例えば、ストレートライニングを行ったマトリクス式質問の数が10個以上である回答者は、トラップ質問に正解した回答者1,752人の中では26人(約1.5%)であるが、不正解であった回答者248人の中では54人と、約22%を占めている。10個以上ではなく何個以上の行に注目しても、トラップ質問に不正解であった群の方が、ストレートライナーの割合も多い傾向にあることが分かる。

     他方で、トラップ質問では検出しきれていないストレートライナーが存在することも見逃せない。再び10問以上のマトリクス式質問でストレートライニングを行った人数に注目すると、トラップ質問の正解者と不正解者を合わせて80人存在し、そのうち26人はトラップ質問をクリアしている。もちろん、26人全員が省力回答をしていると断定できるわけではないが、トラップ質問による検出の限界も示されているといえる。

     それでは、仮にトラップ質問で検出しきれなかったストレートライナーも追加で除去すると、集計結果はどの程度影響を受けるのであろうか。そのためには、何個以上の質問で同じ選択肢を選んだことをもってサティスファイサーと認定するか、という閾値を設ける必要がある。しかし、それは簡単なことではない。上でも述べたように、ストレートライニングは回答者が質問に対して真剣に考えた結果としても生じうるからである。

     そこで、ここでは1つの基準を決めてしまうのではなく、ストレートライニングが生じた質問の数が16個すべて、15個以上、14個以上・・・0個以上と全パターンについて、該当者をサンプルから除くことで集計結果がどのように変化するかを計算した(表2-17)。(1)トラップ質問に正解しなかった者も含め回答者を全く削除しない完全なサンプル(n = 2,000)と、(2)トラップ質問に正解しなかった者(248人)に加えてトラップ質問には正解したが一定個数以上の質問でストレートライニングをした者を削除したサンプルの間で、回答の平均値の差のt検定をした。そして、5%水準で有意になった質問項目の数を、一番右の列に記載している。

    表2-17 ストレートライナーを分析から除くことによって有意な差が出る質問の数

    表2-17 ストレートライナーを分析から除くことによって有意な差が出る質問の数

    (注)サティスファイサーとして除かれる回答者は、トラップ質問に正解しなかった回答者248人と、トラップ質問には正解したがn個以上のマトリクス式質問で同一回答をした回答者の合計である。回答の値をリスケーリングした上で、すべての回答者を含めたサンプル(n = 2,000)との間で平均の差のt検定をした結果である。

     例えば、16個すべてのマトリクス質問でストレートライニングを行ったことをもって省力回答者と判断するとしよう。この場合、サティスファイサーとして扱われる回答者は合計で250人であり、その内訳は、トラップ質問に正解しなかった248人と、トラップ質問には正解したが16個すべての質問でストレートライニングをした2人である。250人というのは、回答者数の合計2,000のうちの割合でいうと12.5%である。この250人を除くサンプルと除かないサンプルで回答の平均値の差のt検定をすると、有意な差が出た質問の数は14個であった。トラップ質問に正解しなかった回答者248人のみを除いた図2-12と表2-13では、有意な差が出た質問項目は13個だったので、追加で2人を除くことで新たに有意になる質問項目が1つ現れたということになる。

     仮に、サティスファイサーであると判断する基準をもう少し厳しく、「16個すべて」から「10個以上」にしたとする。その場合、サティスファイサーであると判断される回答者は合計で274人であり、「16個すべて」の場合から新たに24人(274-250)が分析から除かれることになる。274人が回収数2,000人に占める割合は13.7%と、上の12.5%と比べると1%ポイント程度の微増にすぎない。しかし、この274人を除くケースでは、有意な差が出る質問の数は21個になる。サンプルに占める割合でいえば1%ポイント程度の変化であっても、有意な差が出る質問項目の数を7つ増やすほどの影響力があるということである。サティスファイサーを除くことで集計結果に変化が出るか否かというテストの結果は、サティスファイサーとしてサンプルから除去する基準に対して、極めてセンシティブであることが分かる。

     その背景として、トラップ質問に不正解であった回答者248人のみを除いた図2-12において、ぎりぎり5%水準に達しなかったものが多く存在することが挙げられるだろう。そういった質問項目が、トラップ質問に正解したストレートライナーも追加で削除して分析することで有意になったと考えられる。ここでの「16個すべて」や「10個以上」というのはもちろん例示であって絶対的な基準ではないが、トラップ質問だけではあからさまなストレートライナーを検出しきれておらず、かつそれが最終的な分析結果にまで影響しうることを示す結果であるといえる。

     ただし、ストレートライニングについて何らかの基準を設定し、その基準を超えた者を一括してサンプルから削除するという手法に対しては、先行研究では賛否両論の状態である(Reuning and Plutzer 2020)。ストレートライニングのうち、どれが省力回答によるものであるかの判断は、ともすれば恣意的なものになりかねないからである。本報告書では、表2-16と表2-17の分析結果を踏まえ、サティスファイサーとして扱うかどうかの明確な線引きをすることは難しいと考え、より慎重なアプローチとして、あくまでトラップ質問の結果のみをもってサティスファイサーを判断することにしたい。

    3.結論

     本章では、次の第3章におけるインターネット調査の結果の時系列比較の準備作業として、調査結果に付与するウエイトについて検討するとともに、サティスファイサーの属性や回答行動の傾向を分析した。

     ウエイト付けについては、性別(男女)、年齢(10歳刻みで6段階)、都市規模(21大都市在住か否か)、学歴(大卒以上か否か)、労働力状態(就業者か否か)、配偶関係(配偶者ありか否か)という6つの属性を使用し、国勢調査における周辺分布をターゲットとしたレイキングによって補正をした。補正によって、経済的な見通しに関する質問には後ろ向きに、政治参加に対しては消極的な方向となる変化が見られた。すなわち、インターネット調査のサンプルにはその逆の方向でのバイアスがある。補正によるこうした変化は、インターネット調査において学歴が高い人が多いというバイアスと強く関係していることが分かった。比較のために同じ時期、同じ質問によって実施された留置調査でも同様の補正をしたところ、SNS やテレビへの接触、テレワークといった、メディア環境に関する質問において大きな変化が見られるなど、インターネット調査とは異なる傾向が見られた。

     サティスファイサーについては、トラップ質問に正解しなかった回答者を除去することで、少数ではあるが有意な変化が生じる質問項目が存在することが明らかになった。また、トラップ質問に正解しなかった回答者は、マトリクス式の質問において質問を読まずに同じ選択肢を選ぶ、いわゆる「ストレートライニング(straightlining)」をする傾向と強く結びついていることも示された。次の第3章では、トラップ質問をリアしなかった回答者を削除した上で、ウエイト付きの集計結果を使って集計する。

    参考文献


    大森翔子(2021)「インターネット調査のサンプル特性:国勢調査・留置調査との比較」『NIRAワーキングペーパー』No.1.
    三浦麻子(2015)「オンライン調査モニタのSatisficeに関する実験的研究」『社会心理学研究』31(1): 1-12.
    吉村治正(2020)「ウェブ調査の結果はなぜ偏るのか:2つの実験的ウェブ調査から」『社会学評論』71 (1): 65-83.
    Alvarez, R. Michael, Lonna Rae Atkeson, Ines Levin, and Yimeng Li. 2019. “Paying Attention to Inattentive Survey Respondents.” Political Analysis 27 (2): 145-62.
    Bansak, Kirk, Jens Hainmueller, Daniel J. Hopkins, and Teppei Yamamoto. 2018. “The Number of Choice Tasks and Survey Satisficing in Conjoint Experiments.” Political Analysis 26 (1): 112-19.
    DeBell, Matthew, and Jon A. Krosnick. 2009. “Computing Weights for American National Election Study Survey Data.” ANES Technical Report Series: nes012427.
    Kim, Yujin, Jennifer Dykema, John Stevenson, Penny Black, and D. Paul Moberg. 2019. “Straightlining: Overview of Measurement, Comparison of Indicators, and Effects in Mail-Web Mixed-Mode Surveys.” Social Science Computer Review 37 (2): 214-33.
    Reuning, Kevin, and Eric Plutzer. 2020. “Valid vs. Invalid Straightlining: The Complex Relationship Between Straightlining and Data Quality.” Survey Research Methods 14 (5): 439-59.
    Sturgis, Patrick, and Ian Brunton-Smith. 2023. “Personality and Survey Satisficing.” Public Opinion Quarterly 87 (3): 689-718.

    第3章 政治・経済・社会に関する人々の意識や態度
    ―NIRA基本調査に基づく2023年から2024年の変化―

    井上敦

    要旨


     本章では、2023年から2024年にかけての1年間における、日本人の政治、経済、社会に関する意識や態度の変化を分析する。分析には、NIRA総合研究開発機構が2023年および2024年に実施した「政治・経済・社会に関する意識調査(NIRA基本調査)」のインターネット調査における共通質問項目を用いた。その結果、以下の点が明らかとなった。

     第1に、政治に関する人々の意識の変化として、自民党支持の割合は減少し、無党派層の割合は増加した。また、政治家への不信感が強まるとともに、政治的有効性感覚や関心の低下も確認された。

     第2に、家計の厳しさが依然として続いていることが示された。家計状況について「良くなっている」と回答した人の割合は7%と低水準のままであり、「悪くなっている」との回答はやや減少したものの、依然として4割近くが家計の悪化を実感していた。

     第3に、公的給付の対象に関して、児童手当については「一律給付」支持が減少し、「所得制限付き給付」支持が増加した。この変化は他の政策と比べても顕著であった。また、公的サービスの水準に関しては、全国一律よりも地域の実情を反映した形を支持する人の割合が増加した。

     これらの分析結果を踏まえ、人々の意識や態度の変化が、同時期に生じた社会的動向とどのように関連しているかについても検討を行った。

    1.はじめに

     NIRA総合研究開発機構が実施する「政治・経済・社会に関する意識調査(NIRA基本調査)」は、人々の政治、経済、社会に関する意識や態度の長期的な変化を把握することを目的とした定点調査である。第1回調査は20233月に、第2回調査は20241月から2月にかけて実施された。

     本稿では、2023年から2024年にかけての1年間で、人々の意識や態度にどのような変化が生じたのか、または変化が見られなかったのかを分析する。その上で、この1年間に起きた政治的・経済的・社会的な出来事との関連性について検討する。

    2.分析方法とデータ

     NIRA基本調査は、全国の18歳以上の日本人を対象に実施され、第1回調査はインターネット調査、第2回調査はインターネット調査と留置調査の併用によって行われた。

     本稿では、調査モードが同じ、2023年と2024年のインターネット調査における回答分布を比較し、この1年間における人々の意見や態度の変化の有無を検証する。なお、本文中でグラフの数値に言及しているものは、t検定により2023年と2024年の回答平均値に統計的有意な差(有意水準5%)が確認された項目である。t検定の結果については、付表1に掲載した。

     分析に際しては、設問を注意深く読まずに最小限の労力で回答した省力回答者を除外した上でデータを集計している(注10)。また、第2章で議論する通り、レイキング法を用いて、国勢調査の母集団分布に適合するよう算出されたウエイトを適用した。本稿で分析対象とする質問は、2023年と2024年の調査で質問文が完全一致または類似しているものに限定している。完全一致していない場合は、その旨を本文や脚注で明記する。なお、図表中の構成比(%)は、小数第1位を四捨五入しており、その結果、内訳の合計が100%にならない場合や、本文中の数値と完全に一致しない場合がある点に留意されたい。また、過去のNIRA基本調査の結果については、NIRA総研(2023, 2024)を参照されたい。

    3.分析結果

    (1)政治分野

     政治に関する人々の意識や態度の変化として、自民党支持者の減少、政治家への不信感の強まり、そして個人の行動が政治に影響を与えられると感じる政治的有効性感覚の低下が挙げられる。また、米国および中国に親近感を抱く人の割合が減少し、特に中国に対して親近感を感じないと回答した人の割合が増加した。以下、詳細を見ていく。

    長期的党派性

     長期的な党派性の変化を見ると、図3-1-1に示される通り、自民党を支持すると回答した人の割合は31%から22%へ減少した。一方で、「そのような政党はない」と回答した人の割合は31%から39%へ増加しており、無党派層の拡大が確認された。

    政治に関する意見

     次に、政治家への態度について見ると、図3-1-2に示される通り、「今の政治家は、あまり私たちのことを考えていない」を肯定する人(「そう思う」と「どちらかといえばそう思う」の合計、以下同)の割合は78%から81%に増加した。また、「国会議員は、おおざっぱに言って当選したらすぐ国民のことを考えなくなる」を肯定する人の割合も80%から84%に増加した。

     政治的有効性感覚については、「自分には政府のすることに対して、それを左右する力はない」を肯定する人が72%から75%に増加し、「政治や政府の動きはあまりに複雑で、自分には何をやっているのかよく理解できないことがある」を肯定する人も57%から64%に増加した。

     政治への関心については、「自分は政治に関心がある方である」を肯定する人の割合には大きな変化が見られなかったものの、否定する人(「そう思わない」と「どちらかといえばそう思わない」の合計、以下同)の割合は28%から33%に増加した。

    メディアや組織などへの信頼

     次に、メディアや各種組織への信頼について確認する。なお、2023年と2024年の調査では選択肢の表記が異なっており、結果の解釈には留意が必要である(注11)

     図3-1-3に示される通り、テレビを信頼する人の割合(2023年調査では「非常に信頼する」と「やや信頼する」、2024年調査では「信頼する」と「どちらかといえば信頼する」の合計、以下同)は53%から62%へ増加した。同様に、インターネットメディアを信頼する人の割合は39%から47%に、SNSを信頼する人の割合は22%から27%に増加した。

     また、警察を信頼する人の割合は68%から73%に、裁判所を信頼する人の割合は72%から78%に上昇した。一方で、政府、国会、家族への信頼については、大きな変化は見られなかった。

    諸外国への親近感

     最後に、諸外国への親近感の変化を確認する。図3-1-4に示される通り、2023年から2024年にかけて、米国に親近感を抱く人の割合(「親しみを感じる」と「どちらかといえば親しみを感じる」の合計、以下同)は79%から75%へ減少した。同様に、中国に親近感を抱く人の割合も14%から10%へ低下し、「親しみを感じない」と回答した人は54%から64%へと増加した。

     一方で、ロシア、韓国、インドに対する親近感の割合には、大きな変化は見られなかった。

    (2)経済分野

     経済に関する人々の意識や態度の変化として、デジタル化や技術革新によるコミュニケーションや人間関係の希薄化を予想する人の割合が増加したことが挙げられる。以下、詳細を見ていく。

    1年前と比べた世帯の家計状況

     まず、1年前と比べた世帯の家計状況の変化を確認する。なお、2023年と2024年の調査では質問文と選択肢が異なっているため、結果の解釈には留意が必要である。

     図3-2-1に示される通り、1年前と比べて世帯の家計状況が「良くなっている」と回答した人の割合には大きな変化が見られなかった。一方で、「悪くなっている」と回答した人の割合は若干減少している。なお、この差は有意水準10%で統計的に有意である。

    デジタル化や技術革新の影響への意識

     次に、デジタル化や技術革新の影響に対する意識の変化を確認する。図3-2-2に示される通り、「コミュニケーションや人間関係が希薄になる」と予想する人の割合は71%から74%に増加している。

     一方で、「自分や家族の仕事がなくなる」や「情報漏えい、不正アクセスなどのセキュリティ被害が増える」と予想する人の割合には、大きな変化は見られなかった。

    生活時間

     次に、生活時間の変化を確認する。図3-2-3に示される通り、労働時間は若干減少し、家事・育児・介護に費やす時間は若干増加した。一方で、テレワークによる労働、学習・自己啓発・訓練、情報メディアとの接触時間にはほとんど変化が見られなかった。

    地域、ボランティア、副業に関する活動

     最後に、地域活動、ボランティア、副業に関する変化を確認する。図3-2-4に示される通り、地域コミュニティとのかかわり(例:自治会の行事、学校行事、地域サークルなど)は若干減少した。一方で、ボランティア活動や副業の実施状況には大きな変化は見られなかった。

    (3)社会分野

     社会に関する人々の意識や態度の変化として、低負担・低福祉や公益重視の社会を理想とする人の割合が減少し、児童手当の一律給付への支持が低下し、所得制限付き給付への支持が増加した。また、全国一律ではなく、地域の実情を反映した公的サービスの提供を支持する人の割合が増加している。以下、詳細を見ていく。

    社会に対する考え

     まず、社会に対する考え方の変化を確認する。なお、2023年と2024年の調査では選択肢の表記が反転しているため、結果の解釈には注意が必要である(注12)

     図3-3-1に示される通り、「努力をして働けば、豊かな暮らしができる」を肯定する人の割合は33%から40%に増加し、否定する人の割合は30%から22%に低下した。また、「一般論として、たいていの人は信頼できる」を肯定する人の割合は37%から43%に増加し、否定する人の割合は24%から20%に低下した。さらに、「今生きている人々の負担となっても、将来世代のことを考えて行動すべきである」を肯定する人の割合は48%から54%に増加し、否定する人の割合は13%から11%に低下した。

    理想とする日本の社会

     次に、理想とする日本の社会について確認する。図3-3-2に示される通り、「A:税負担は大きいが福祉などの行政サービスが充実した社会」と「B:福祉などの行政サービスを必要最小限に絞り、税負担の少ない社会」の選択において、B(低負担・低福祉)を支持する人の割合は22%から19%へと若干減少した。

     また、「A:国民一人一人が『個人の利益』を優先する社会」と「B:国民一人一人が『公共の利益』を優先する社会」の選択において、B(公益重視)を支持する人の割合は26%から22%へと若干減少した。

    公的サービスの対象に関する考え

     次に、公的サービスの対象に対する考え方の変化を確認する。図3-3-3に示される通り、「中学卒業までの児童1人につき、月額15,000円を支給する」について、所得制限なしを支持する人の割合(「所得に関係なく全員を対象にすべきだと思う」と「どちらかといえば所得に関係なく全員を対象にすべきだと思う」の合計、以下同)は40%から34%に減少した。一方、所得制限を設けることを支持する人の割合(「一定の所得条件を満たす人を対象にすべきだと思う」と「どちらかといえば一定の所得条件を満たす人を対象にすべきだと思う」の合計、以下同)は43%から48%に増加した。

     また、「職業訓練や学び直しなど、スキルアップのための支援金を給付する」についても、所得制限なしを支持する人の割合は42%から39%に減少した。

    公的サービスの水準に関する考え

     次に、公的サービスの水準に対する考え方の変化を確認する。なお、2023年と2024年の調査では、選択肢の表記が若干異なっている点に留意されたい(注13)

     図3-3-4に示される通り、いずれの公的サービスにおいても「全国一律」の提供を支持する人の割合は48ポイント減少し、一方で「地域の実情を反映した提供」を支持する人の割合は36ポイント増加した。

    公共サービスに対する満足度

     次に、公共サービスに対する満足度の変化を確認する。なお、2023年と2024年の調査では選択肢が反転しているため、結果の解釈には留意が必要である。

     図3-3-5に示される通り、全般的に公的サービスへの満足度は向上し、不満の割合は減少した。満足度の上昇幅が大きかった項目を順に挙げると、医療サービス、介護・障がい者支援、学校教育、公共安全、防衛、子育て支援、雇用支援、緊急時・災害時の支援、年金制度となった。

     一方で、生活支援に対する満足度には大きな変化が見られなかった。

    国や自治体の支出の無駄への意識

     次に、国や自治体の支出に対する無駄の意識の変化を確認する。なお、2023年と2024年の調査では選択肢が異なっているため、結果の解釈には留意が必要である。図3-3-6に示される通り、国や自治体の支出における無駄が2割以下とする回答の割合が全般的に増加しており、無駄が少ないと考える方向へ意識が変化している可能性がある。

    人々の社会意識

     次に、人々の社会意識の変化について確認すると、図3-3-7に示される通り、いずれの項目においても大きな変化は見られなかった。なお、2023年と2024年の調査では選択肢の表記が反転しているため、結果の解釈には留意が必要である(注14)

    社会階層意識

     最後に、社会階層意識について見ると、図3-3-8より、「中の中」と答える人の割合が35%から38%に増加し、「中の下」と答える人の割合が38%から34%に減少した。

    4.おわりに

     本稿では、2023年から2024年にかけての1年間における日本人の政治、経済、社会に対する意見や態度の変化を分析した。その結果を踏まえ、同時期に生じた社会の動きとの関連性について検討したい。

     まず、政治に関する変化として、調査結果からは、自民党支持の減少と無党派層の増加、政治家への不信感の強まり、政治的有効性感覚や政治への関心の低下が確認された。また、米国および中国に親近感を抱く人の割合が減少し、特に中国に対して親近感を感じないと回答した人の割合が増加したことが明らかになった。

     この1年間の政治環境を見ると、日本の政治では自民党派閥の裏金問題が大きな議題となり、「政治とカネ」の問題が政治不信を一層深めた。人々の政治的有効性感覚の低下や政治関心の減少には、この問題の影響が反映されていると考えられ、国民と政治の距離が広がりつつあることが示唆される。また、国際情勢に目を向けると、ウクライナ戦争の長期化、202310月のイスラエル・ハマス戦争の勃発、米中対立の常態化、中国による台湾への軍事的圧力の強化など、地政学的な緊張が続いた。これらの国際環境の変化は、日本人が抱く諸外国への親近感に影響を与えている可能性がある。例えば、日本政府による経済安全保障の強化や、中国による台湾への軍事的圧力の強化、さらには尖閣諸島周辺での中国公船の活動活発化といった動向は、日本における中国に対して親しみを感じない人の割合の増加と整合していると考えられる。

     次に、経済に関する変化として、家計状況について「良くなっている」と回答した人の割合に大きな変化はなかったが、「悪くなっている」と回答した人は若干減少したことが確認された。また、デジタル化や技術革新により、コミュニケーションや人間関係の希薄化を予想する人の割合が増加した。

     この1年間の経済環境を見ると、20235月に新型コロナウイルス5類に移行し、経済活動が回復した。日経平均株価20236月に33年ぶりに33000円を超え、企業業績も改善傾向を示した。他方で、賃金上昇率を上回って物価が上昇し、また、20241月に発生した能登半島地震は被災地の経済に大きな影響を及ぼした。調査結果では、家計状況が「悪くなっている」と回答した人の割合はやや減少したものの、依然として4割近くの人が家計の悪化を認識していた。企業の業績が改善していても、家計にまでは景気回復の影響が及んでいない実態が示唆される。また、近年のデジタル技術の進歩は目覚ましく、202211月にリリースされたChatGPTをはじめとする生成AIの普及が進行している。一方で、フェイクニュースの拡散が深刻な課題となっている。こうしたデジタル環境の変化は、コミュニケーションや人間関係の希薄化を予想する人の割合が増加したという調査結果とも整合的であると考えられる。

     さらに、社会に関する変化として、調査結果から、低負担・低福祉や公益重視の社会を理想とする人の割合が若干減少したことが確認された。また、児童手当の一律給付への支持が減少し、所得制限付き給付への支持が増加した。加えて、全国一律ではなく、地域の実情を反映した公的サービスの提供を支持する人が増加した。

     2023年は子育て政策が大きな注目を集めた1年だった。1月に岸田文雄首相が施政方針演説で「異次元の少子化対策」を表明し、4月にはこども家庭庁が発足、6月には「こども未来戦略方針」が閣議決定された。この政策のもとで、児童手当の所得制限撤廃が議論され、202410月からの撤廃が決定された。一方で、調査結果では、一律給付の支持が減少し、所得制限付き給付の支持が増加しており、子育て政策の議論の高まりの中で、給付と負担の公平性や、限られた財源の分配に関する人々の意識が変化した可能性が考えられる。また、地域特性を重視する公的サービスへの支持が増加したことは、地方分権改革や地方創生政策の流れと一致しており、地域の自立的な行政運営や地域ごとの課題に即した政策立案への期待が強まっていることの表れかもしれない。

     本稿では、2023年から2024年の1年間における人々の意識や態度の変化を分析した。社会全体の納得感を醸成しながら政策の方向性を定めていくためには、人々の考えがどのように変遷しているのかを長期的に把握し、それを基盤とした政策議論が不可欠である。こうした変化を適切に捉えるためには、短期的な観察にとどまらず、継続的な定点調査が求められる。NIRA総研では、今後も定点調査を通じて人々の意識や態度の変化を的確に把握し、それを政策議論に適切に反映させるための基盤となる情報を提供し続けていきたい。

    参考文献

    NIRA総合研究開発機構(2023)「第1回政治・経済・社会に関する意識調査(NIRA基本調査)(速報)」NIRA総合研究開発機構研究報告書.
    ――(2024)「第2回政治・経済・社会に関する意識調査(NIRA基本調査)(速報)」NIRA総合研究開発機構研究報告書.

    引用を行う際には、以下を参考に出典の明記をお願いいたします。
    (出典)谷口将紀・井上敦・竹中勇貴(2025)「NIRA基本調査2024―サンプルに含まれるバイアスと人々の意識変化―」NIRA総合研究開発機構

    脚注
    1 インターネット調査は、2023年、2024年ともに楽天インサイト株式会社に委託して実施した。 1 インターネット調査は、2023年、2024年ともに楽天インサイト株式会社に委託して実施した。
    2 留置調査は、一般社団法人中央調査社に委託して実施した。 2 留置調査は、一般社団法人中央調査社に委託して実施した。
    3 レイキングには、Thomas LumleyによるRパッケージ「survey: analysis of complex survey samples」(ver 4.4.)を使用した。 3 レイキングには、Thomas LumleyによるRパッケージ「survey: analysis of complex survey samples」(ver 4.4.)を使用した。
    4 本調査は18歳以上の日本人を対象にしているため、国勢調査における母集団も18歳以上の日本人にしている。ただし、学歴については日本人のみのデータが国勢調査から得られていないため、外国籍の人数も含めた値をターゲットとしてレイキングをしている。また、国勢調査において年齢、学歴、労働力状態、配偶関係が「不詳」である人数は除外している。 4 本調査は18歳以上の日本人を対象にしているため、国勢調査における母集団も18歳以上の日本人にしている。ただし、学歴については日本人のみのデータが国勢調査から得られていないため、外国籍の人数も含めた値をターゲットとしてレイキングをしている。また、国勢調査において年齢、学歴、労働力状態、配偶関係が「不詳」である人数は除外している。
    5 ANES(American National Election Studies)がレイキングの計算方法として公表しているDeBell and Krosnick(2009)に準拠した。 5 ANES(American National Election Studies)がレイキングの計算方法として公表しているDeBell and Krosnick(2009)に準拠した。
    6 ここでのデザイン・エフェクトは、各回答者に付与されたウエイト値の平方和をウエイト値の合計の2乗で割り、サンプル数を乗ずることで計算している。ウエイトを使って集計することによって、値のばらつきがウエイトを使わない場合と比べてどの程度大きくなるかを示す。1ちょうどであることは、完全なランダム・サンプリングと同等であることを意味する。 6 ここでのデザイン・エフェクトは、各回答者に付与されたウエイト値の平方和をウエイト値の合計の2乗で割り、サンプル数を乗ずることで計算している。ウエイトを使って集計することによって、値のばらつきがウエイトを使わない場合と比べてどの程度大きくなるかを示す。1ちょうどであることは、完全なランダム・サンプリングと同等であることを意味する。
    7 したがって、図中の上から10個の質問項目は、表5に示されている10個の質問項目と同一である。 7 したがって、図中の上から10個の質問項目は、表5に示されている10個の質問項目と同一である。
    8 傾向スコアを使ったウエイトの計算は、無限母集団を想定した方法である点に留意されたい。 8 傾向スコアを使ったウエイトの計算は、無限母集団を想定した方法である点に留意されたい。
    9 選んだ選択が具体的に何であるか、すなわち、すべて「1」であるか、すべて「2」であるかといったことは区別していない。 9 選んだ選択が具体的に何であるか、すなわち、すべて「1」であるか、すべて「2」であるかといったことは区別していない。
    10 本調査では、「この項目には、「4.どちらかと言えばそう思わない」を選択してください」というトラップ設問を用意し、当該設問で「4.どちらかと言えばそう思わない」を選択しなかった人を除外して分析する。 10 本調査では、「この項目には、「4.どちらかと言えばそう思わない」を選択してください」というトラップ設問を用意し、当該設問で「4.どちらかと言えばそう思わない」を選択しなかった人を除外して分析する。
    11 2023年と2024年の調査の選択肢は以下の通りである。2023年調査の選択肢:1 = 非常に信頼する、2 = やや信頼する、3 = あまり信頼しない、4 = 全く信頼しない 2024年調査の選択肢:1 = 信頼する、2 = どちらかといえば信頼する、3 = どちらかといえば信頼しない、4 = 信頼しない 11 2023年と2024年の調査の選択肢は以下の通りである。2023年調査の選択肢:1 = 非常に信頼する、2 = やや信頼する、3 = あまり信頼しない、4 = 全く信頼しない 2024年調査の選択肢:1 = 信頼する、2 = どちらかといえば信頼する、3 = どちらかといえば信頼しない、4 = 信頼しない
    12 2023年と2024年の調査の選択肢は以下の通りである。2023年調査の選択肢:1 = そう思わない、2 = どちらかといえばそう思わない、3 = どちらともいえない、4 = どちらかといえばそう思う、5 = そう思う 2024年調査の選択肢:1 = そう思う、2 = どちらかといえばそう思う、3 = どちらともいえない、4 = どちらかといえばそう思わない、5 = そう思わない 12 2023年と2024年の調査の選択肢は以下の通りである。2023年調査の選択肢:1 = そう思わない、2 = どちらかといえばそう思わない、3 = どちらともいえない、4 = どちらかといえばそう思う、5 = そう思う 2024年調査の選択肢:1 = そう思う、2 = どちらかといえばそう思う、3 = どちらともいえない、4 = どちらかといえばそう思わない、5 = そう思わない
    13 2023年調査では、選択肢が「地域の実情を反映して違いがあるべき」となっていたのに対し、2024年調査では「今よりも地域の実情を反映して違いがあるべき」に変更されている。 13 2023年調査では、選択肢が「地域の実情を反映して違いがあるべき」となっていたのに対し、2024年調査では「今よりも地域の実情を反映して違いがあるべき」に変更されている。
    14 2023年と2024年の調査の選択肢は以下の通りである。2023年調査の選択肢:1 = 全くあてはまらない、2 = あまりあてはまらない、3 = どちらともいえない、4 = ややあてはまる、5 = よくあてはまる 2024年調査の選択肢:1 = よくあてはまる、2 = ややあてはまる、3 = どちらともいえない、4 = あまりあてはまらない、5 = 全くあてはまらない 14 2023年と2024年の調査の選択肢は以下の通りである。2023年調査の選択肢:1 = 全くあてはまらない、2 = あまりあてはまらない、3 = どちらともいえない、4 = ややあてはまる、5 = よくあてはまる 2024年調査の選択肢:1 = よくあてはまる、2 = ややあてはまる、3 = どちらともいえない、4 = あまりあてはまらない、5 = 全くあてはまらない

    ©公益財団法人NIRA総合研究開発機構

    ※本誌に関するご感想・ご意見をお寄せください。E-mail:nira01@nira.or.jp

    研究の成果一覧へ